首页 > 新闻资讯 > 生活资讯 生活资讯 订阅
生活资讯相关导航
生活资讯
  • 苯的化学式是什么
    苯的化学式是什么

    最佳答案:C₆H₆苯的英文学名为Benzene,在CAS(国际化学文摘杂志)中编号为71-43-2,它的常见分子式是C₆H₆,分子量为78.11,常见熔点为mp 5.5°C,常见沸点为bp 80.1°C,常见密度为d415 0.0008787 g/cm3,这是一种由C 92.26%, H 7.74%构成的化合物。他的结构式环状结构,六个碳围成一圈,形成一个碳环.每个碳

  • 尿酸的化学式是什么
    尿酸的化学式是什么

    最佳答案:C₅H₄N₄O₃相信大家多少都了解过一些,那就是能量代谢异常及肾脏对尿酸的排泄障碍均可引起血浆尿酸浓度升高。那么尿酸的化学式是什么?尿酸是鸟类和爬行类的主要代谢产物,化学式是C₅H₄N₄O₃,微溶于水,易形成晶体。它是一种内源性抗氧化剂,可清除活性氧类化合物 (ROS),包括单线态氧,氧自由

  • 函数求导公式大全
    函数求导公式大全

    最佳答案:原函数:y=c(c为常数),导数:y'=01、原函数:y=c(c为常数)导数: y'=02、原函数:y=x^n导数:y'=nx^(n-1)3、原函数:y=tanx导数: y'=1/cos^2x4、原函数:y=cotx导数:y'=-1/sin^2x5、原函数:y=sinx导数:y'=cosx6、原函数:y=cosx导数: y'=-sinx7、原函数:y=a^x导数:y'=a^x

  • 椭圆的弦长公式是什么
    椭圆的弦长公式是什么

    最佳答案:d=√(1+k^2)*|X1-X2|=√{(1+k^2)*[(X1+X2)^2-4*X1*X2]}=√(1+1/k^2)*|y1-y2|=√(1+1/k^2)*[(y1+y2)^2-4*y1*y2]椭圆的弦长公式是d=√(1+k^2)*|X1-X2|=√{(1+k^2)*[(X1+X2)^2-4*X1*X2]}=√(1+1/k^2)*|y1-y2|=√(1+1/k^2)*[(y1+y2)^2-4*y1*y2]。椭圆弦

  • 为什么世界杯没有英国队呢
    为什么世界杯没有英国队呢

    最佳答案:世界杯没有“英国队”的公开理由是英国的四个地区(英格兰、苏格兰、威尔士、北爱尔兰)都有自己的足协,每个足协都是国际足联的独立成员,所以四个足协各自派队参加世界杯,而不是组成“英国队”英国全称是大不列颠及北爱尔兰联合王国,大不列颠包括英格兰、苏格兰和威尔士

  • 大学平均绩点3.5算差吗?
    大学平均绩点3.5算差吗?

    最佳答案:不算大学平均绩点3.5换算成课程考核成绩大概在82-85分,对于普通学生来说算是很不错了,但是如果想评选奖学金的话,绩点至少要达到4才可以。绩点就是你所有的课程成绩乘以课程学分,然后把这些所有加起来,再比上你课程学分的总合,最终得到的结果就是绩点,又称GPA。绩点计算公式平均绩点=(科目1

  • 买房不迁户口能上学吗?
    买房不迁户口能上学吗?

    最佳答案:不可以根据我国《义务教育法》第12条的规定,少年应该在其户籍所在地的对口学区,就近入学为原则。当事人购房后,孩子要在对应的学区入学的,应该把孩子及监护人(房主)的到该房产上,才能保障就近入学,否则就存在调剂入学的可能(根据学校生源而定)。父母或者其他法定监护人在非户籍所在地工作或

  • 家境一般艺考值得走吗?
    家境一般艺考值得走吗?

    最佳答案:家境一般,天分一般不值得;家境一般,天分优异值得艺考,许多学生觉得这是一条“捷径”通往本科,然而现实是这条路也并不容易走,尤其是对于一些家庭条件不好的人群。如果家境一般,天分一般的话,家境困难的同学就不建议走艺考这条路了,因为艺考很费钱。在所有艺考专业中,像音乐、摄影、美术算是花费

  • bmi计算公式是什么?
    bmi计算公式是什么?

    最佳答案:体重(公斤)÷身高(公尺)的平方bmi计算公式=体重(公斤) ÷身高(公尺)的平方。BMI指数是使用体重公斤数除以身高米数平方得出的数字,也是国际上常用的衡量人体胖瘦程度与是否健康的一个标准。BMI的正常范围为18.5-23.9。BMI简单、实用、可反映全身性超重和肥胖。在测量身体因超重而面临心

  • 天天喝电热水壶的水有坏处吗?
    天天喝电热水壶的水有坏处吗?

    最佳答案:没有有专家指出使用高锰钢制作的水壶烧水,并不会有含锰的物质生成,析出的锰元素也很少。即便是将水煮上千个小时,水壶所析出的锰元素也是非常有限的。因此在生活中我们在使用高锰钢制作的水壶烧水的时候,不用担心喝了水会中毒或者致癌的这种情况了。并且有资料显示,即使是长期服用含氯的水

  • 叶云苒傅北爵小说叫什么名字?
    叶云苒傅北爵小说叫什么名字?

    最佳答案:《龙凤四宝:团宠妈咪轰动全球》叶云苒傅北爵是小说《龙凤四宝:团宠妈咪轰动全球》中的男女主角,这是由作者夏萝酒创作的一部现代言情小说。故事讲述了叶云苒与傅北爵发生关系后,生下四个孩子,前两个孩子被心机妹妹抢走,凭借两个小孩一跃成为了傅家继承人的母亲,而她只能带着剩下的两个孩子远

  • 计算机类专业包括哪些?
    计算机类专业包括哪些?

    最佳答案:计算机科学与技术专业;软件工程专业;网络工程专业;信息安全专业;物联网工程专业;数字媒体技术专业;智能科学与技术专业;空间信息与数字技术专业;电子与计算机工程专业计算机类专业主要包括:计算机科学与技术专业、软件工程专业、网络工程专业、信息安全专业、物联网工程专业、数字媒体技术专业

  • 退休档案审查都看什么?
    退休档案审查都看什么?

    最佳答案:出生年月;当事人参保种类、性别正常来讲,一份档案应当包括10大部分,履历材料、自传材料、考察考核鉴定材料、学历职称、职业资格材料、政治历史情况的审查材料、参加党团的材料、奖惩材料、就业材料、工资材料、退离休材料、出国材料、退职材料以及其他材料等等。根据目前规定,当事人退休

  • 四级满分是多少
    四级满分是多少

    最佳答案:710分从2005年开始,大学四六级考试成绩采用了满分710分的计分体制,四六级考试不设及格线,凡考试成绩在220分以上的考生,由国家教育部高教司委托“全国大学英语四六级考试委员会”发放成绩单。考试单项分分为四个部分,这四个部分以及各部分所占的分值比例分别为:听力(20%)、阅读(40%)、综合

  • 朱瞻基为什么短命?
    朱瞻基为什么短命?

    最佳答案:历史学者认为他们早死的主要原因有二点,第一点是家族遗传,身体虚弱;第二点是劳累过度家族遗传朱高炽47岁登基,不到一年暴毙,长子朱瞻基即位。但是当皇帝不到10年,朱瞻基也挂了,虽然历史上对于朱瞻基怎么死的说的很明白,短期病死。然而皇帝八卦是很吸引人的,所以对“明宣宗朱瞻基为什么那么短命

  • 朱棣把皇位传给了谁?
    朱棣把皇位传给了谁?

    最佳答案:朱高炽朱高炽能登上皇位,是因为他的人品与能力,都是众望所归的。朱高炽为人忠厚老实,与人为善,甚至对曾经陷害过他的朱高煦,他都能宽容以待。明成祖朱棣把皇位传给了长子朱高炽,也就是明仁宗。明仁宗朱高炽(1378年8月16日—1425年5月29日),明成祖朱棣长子,生母仁孝文皇后徐氏。明朝第四位皇帝,年

  • 一度电可以用多久
    一度电可以用多久

    最佳答案:1度电就是1000W的电器用1小时耗费的电如果冰箱是500W,就可以用2小时;如果灯泡是40W的,1000/40=25,也就是1度电可以用25小时1度电=1千瓦×1小时相当于:25瓦的灯泡能连续点亮40小时;普通电风扇能连续运行15小时;电视机能开10小时;能将8公斤的水烧开;家用冰箱能运行36小时;能用吸尘器把房间打扫5遍;

  • 大学必备含金量高的几大证书?
    大学必备含金量高的几大证书?

    最佳答案:英语证书,计算机证书,学校证书,注册会计师证书,律师资格证书等英语证书大学英语四六级证书,这是大学期间可以考的证书之一,也是对于今后找工作就业具有重要帮助的证书。一年能考两次,分别为6月份与12月份,而且学校会统一报名。英语是各级各类考试当中不可或缺的重要技能证书之一,就像在公务员

  • 上林赋讲的是什么呢
    上林赋讲的是什么呢

    最佳答案:以宫殿、园囿、田猎为题材,以维护国家统一、反对帝王奢侈为主旨,既歌颂了统一大帝国无可比拟的声威,又对最高统治者有所讽谏,是司马相如最重要的代表作《上林赋》属于《子虚赋》的姊妹篇,整篇是从《子虚赋》引申而来,先写子虚、乌有二人之论不确来引出天子上林之事,再依次夸饰天子上林苑中的

  • 扇形的面积公式是什么
    扇形的面积公式是什么

    最佳答案:S=nπR²/360或S=LR/2扇形面积公式是S=nπR²/360或S=LR/2,其中π是圆周率,R是底圆的半径,n是圆心角的度数,L为弧长。推导过程1.n度扇形面积为:S=nπR²/360。2.n度扇形所对应的弧长为:L=n⋅2πR/360,所以,n=360L/2πR,带入1表达式中,360L/2πR⋅(πR)^2/360=LR/2,即扇形面积为S=LR/2。扇形

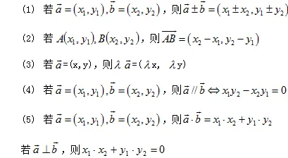
  • 平面向量的所有公式归纳
    平面向量的所有公式归纳

    最佳答案:平面向量是在二维平面内既有方向(direction)又有大小(magrnitude)的量,物理学中也称作矢量,与之相对的是只有大小、没有方向的数量(标量)平面向量用a,b,c上面加一个小箭头表示,也可以用表示向量的有向线段的起点和终点字母表示平面向量是在二维平面内既有方向(direction)又有大小(magrni

  • 专升本能报几个学校?
    专升本能报几个学校?

    最佳答案:可填报8个志愿每个志愿包括一个院校和一个专业考生只能在本人所选定的录取类别内填报志愿,跨类别填报的志愿无效专升本是高职高专学生进入本科学习选拔考试的简称,是中国教育体制中大专层次学生升入本科学校或者专业继续学习的考试制度。专升本的报考对象范围更广,只要学历在专科及以上

  • 排列组合Cn公式和An公式
    排列组合Cn公式和An公式

    最佳答案:排列组合Cn的计算公式是C(n,m)=A(n,m)/m=n(n-1)(n-2)(n-m+1)/m;排列组合An的计算公式为A(n,m)=n×(n-1)(n-m+1)=n/(n-m)排列组合Cn的计算公式是C(n,m)=A(n,m)/m!=n(n-1)(n-2)(n-m+1)/m!排列组合An的计算公式为A(n,m)=n×(n-1)(n-m+1)=n!/(n-m)!排列组合是组合学最基本的概念。所谓排列,就是指从给定个数的元素中取出指定个数的元

  • 上林赋讲述的什么
    上林赋讲述的什么

    最佳答案:以宫殿、园囿、田猎为题材,以维护国家统一、反对帝王奢侈为主旨,既歌颂了统一大帝国无可比拟的声威,又对最高统治者有所讽谏,是司马相如最重要的代表作《上林赋》是司马相如专为汉武帝写的。整篇文章采取的是虚构人物的问答方式展开,开头承接了《子虚赋》的内容,所以被称为《子虚赋》的姊妹

本网站所有的文章都转载与网络(版权为原作者)我们会尽可能注明出处,但不排除来源不明的情况。转载是处于提供更多信息以参考使用或学习、交流、科研之目的,不用于商业用途。转载无意侵犯版权,如转载文章涉及您的权益等问题,请作者速来电话和邮件告知,我们将尽快处理。