首页 > 新闻资讯 > 生活资讯 生活资讯 订阅
生活资讯相关导航
生活资讯
  • 0是一位数吗?
    0是一位数吗?

    最佳答案:不是0不是一位数。因为在记数法里有个规定:一个数的最高位不能是0。假如没有这样的规定,0是一位数,由此可以得出最小的两位数是00,最小的三位数是000,这样的结论显然是不对的。若没有这样的规定,对一个数也就无法确定它的"数位"了。0是介于-1和1之间的整数,是最小的自然数,也是有理数。0不是

  • 氧化铁和稀盐酸反应
    氧化铁和稀盐酸反应

    最佳答案:Fe₂O3+6HCl=2FeCl₂+3H₂O氧化铁和稀盐酸发生反应的现象是红色固体逐渐消失,溶液由无色变为黄色,是复分解反应。在复分解反应中化合物中的化合价不变,因此生成的硫酸铁中的铁为+3价的铁。氧化铁是一种无机物,化学式为Fe₂O3,呈红色或深红色无定形粉末。相对密度5~5.25,熔点1565℃(同时分解)

  • 三角形公式是什么
    三角形公式是什么

    最佳答案:S=(1/2)a×h;C=a+b+c由不在同一直线上的三条线段首尾顺次连接所组成的封闭图形叫作三角形。平面上三条直线或球面上三条弧线所围成的图形,三条直线所围成的图形叫平面三角形;三条弧线所围成的图形叫球面三角形,也叫三边形。面积公式S=(1/2)ab×sinCS=rsS=abc/(4R)S=2R²×sinAsinBsi

  • 完美世界魔女嫁给谁?
    完美世界魔女嫁给谁?

    最佳答案:没有和谁在一起魔女最后单身,没有和谁在一起。《完美世界》中的魔女出生于三千道州,美丽的面颊,妖娆动人,风姿绝世。就算死时她还有心情开玩笑,这就是她本性,魅惑中亦有狡黠。天狐族也是截天教传人,和月婵是对手,有灵身天狐仙子。和石昊一同在北海洗劫,后来去了仙域。在石昊沉睡五十万年回归镇

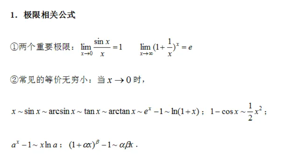
  • 极限函数lim重要公式是什么
    极限函数lim重要公式是什么

    最佳答案:lim((sinx)/x)=1(x->0)极限是微积分中的基础概念,它指的是变量在一定的变化过程中,从总的来说逐渐稳定的这样一种变化趋势以及所趋向的值。设{xn}为一个无穷实数数列的集合。如果存在实数a,对于任意正数ε (不论其多么小),都N>0,使不等式|xn-a|N,使得|xn-a|≥a,就说数列{xn}不收敛于a;如果{xn}

  • 匀速圆周运动公式是什么
    匀速圆周运动公式是什么

    最佳答案:v(线速度)=ΔS/Δt=2πr/T=ωr=2πrn物体做匀速圆周运动时,速度的大小虽然不变,但速度的方向时刻改变,所以匀速圆周运动是变速运动。又由于做匀速圆周运动时,它的向心加速度的大小不变,但方向时刻改变,故匀速圆周运动是变加速运动。匀速圆周运动公式1、线速度V=s/t=2πr/T

  • 大学计算机专业分为哪几类?
    大学计算机专业分为哪几类?

    最佳答案:计算机基础专业、与理工科交叉的计算机专业、与文科艺术类交叉的计算机专业除此之外还有计算机系统结构,计算机软件与理论,计算机应用技术,软件工程。通常呢学生学习关于计算机专业的有:计算机软件工程(it)、计算机硬件维修、计算机网页制作、计算机平面类等。计算机美术设计专业要求学生掌

  • 高数极限公式大全是什么
    高数极限公式大全是什么

    最佳答案:sinX/x→1(x→0)与(1+1/x)^x→e^x(x→∞)极限是微积分中的基础概念,几乎所有基本概念(连续、微分、积分)都是建立在极限概念的基础之上。其指的是变量在一定的变化过程中,从总的来说逐渐稳定的这样一种变化趋势以及所趋向的值(极限值),而广义的“极限”是指“无限靠近

  • 损益类科目借方增加还是减少?
    损益类科目借方增加还是减少?

    最佳答案:增加损益类科目:损类的借方表示增加,贷方表示减少;益类的贷方表示增加,借方表示减少。损益类科目具体包括:主营业务收入、其他业务收入、公允价值变动损益、投资收益、营业外收入、主营业务成本、税金及附加、其他业务成本、销售费用、管理费用、财务费用、资产减值损失、信用减值损失、营

  • 端午节的习俗有哪些啊
    端午节的习俗有哪些啊

    最佳答案:端午节的习俗有赛龙舟、吃粽子、采草药、挂艾草与菖蒲、拜神祭祖、放纸鸢、饮蒲酒、雄黄酒、朱砂酒、打马球、跳钟馗、斗草等端午节的两个标志性习俗是吃粽子和龙舟竞渡。吃粽子和赛龙舟的来源都与屈原有关,在屈原投江后,人们便纷纷划船追赶想要将屈原尸体打捞起来,但是并没有打捞上来,于

  • 职业规划怎么写?
    职业规划怎么写?

    最佳答案:大体的方向要确定下来,即未来要从事的行业;规划时间不要太长,一般写一到三年要达到的目标切记不要写具体的目标,只制定大致的计划;介绍一下选定某个行业的理由,以及这个行业未来的发展趋势职业规划(career planning)也叫“职业生涯规划”。在学术界人们也喜欢叫“生涯规划”,在有些地区,也有一

  • 君子慎独不欺暗室是什么意思?
    君子慎独不欺暗室是什么意思?

    最佳答案:君子在独自一人的时候,也能够坚守自我,不做违反道德准则的行为,亦不做亏心事“君子慎独”语最早出自《礼记·中庸》:道也者,不可须臾离也;可离,非道也。是故君子戒慎乎其所不睹,恐惧乎其所不闻。莫见乎隐,莫显乎微,故君子慎其独也。意思是说,有修养的人,在独处的时候,也能够遵从内心的道德标准。“

  • 王希孟为什么被赐死?
    王希孟为什么被赐死?

    最佳答案:上呈《千里饿殍图》惹怒了徽宗,便将其赐死王希孟生于宋哲宗朝绍圣三年(公元1096年),逝世年岁不详,有传闻说其逝于宣和元年(公元1119年)但因无史可依所以不能贸然断定。北宋晚期中国画家,画史无传。王希孟十多岁入宫中“画学”为生徒,初未甚工。宋徽宗赵佶时系图画院学生,后召入禁中文书库,曾奉事

  • 教法与学法有哪些方法?
    教法与学法有哪些方法?

    最佳答案:教学方法有许多种,常见的教法有:讲授法、谈话法、讨论法、演示法、练习法、实验法;学法有:自主学习法、探究学习法、合作学习法教学方法是教师和学生为了实现共同的教学目标,完成共同的教学任务,在教学过程中运用的方式与手段的总称。教学方法包括教师教的方法(教授法)和学生学的方法(学习方法

  • 四大古都为什么没开封?
    四大古都为什么没开封?

    最佳答案:因为杭州;开封相对其他城市,虽然也是历史朝代的首都,但都不是华夏大一统时期的古都四大古都分别为:西安,洛阳,北京,南京。这四个古都除了有漫长的建都史之外,更是有过封建大一统王朝的定都史,开封和南京的建都史差不多,在开封建都的大朝代只有北宋一个,但北宋不是大一统朝代,所以开封不在四大古都

  • 太子妃和嫡公主谁尊贵?
    太子妃和嫡公主谁尊贵?

    最佳答案:太子妃从宗法继承上来说,太子妃作为储君的嫡妻,身份在皇室里很高,并且一个太子同时也只能有一个太子妃。但是公主不一样,公主有嫡庶之分,皇后所生的嫡公主自然比普通公主地位高。当然,如果皇帝特别宠爱某个庶出公主,也是另当别论的,但这种情况不多见。所以,太子妃作为将来的皇后,一人之下,万人之

  • 高中排列组合公式是什么
    高中排列组合公式是什么

    最佳答案:C(n,m)=A(n,m)/m=n/m(n-m)从n个不同元素中,任取m (m≤n, m与n均为自然数)个不同的元素按照一定的顺序排成一列,叫做从n个不同元素中取出m个元素的一个排列;从n个不同元素中取出m(m≤n)个元素的所有排列的个数,叫做从n个不同元素中取出m个元素的排列数,用符号A(n, m)表示。不同的元素分给不

  • 汉武帝之后谁继位?
    汉武帝之后谁继位?

    最佳答案:刘弗陵汉武帝之后的皇帝是汉昭帝刘弗陵。刘弗陵是西汉第八位皇帝,汉武帝刘彻少子,母为钩戈夫人。前87年3月30日刘弗陵登基为帝,是为汉昭帝。封亲姊鄂邑公主为长公主,入住皇宫。遵照武帝遗诏,由大将军霍光主持国政、录尚书事,车骑将军金日碑、左将军上官桀为其副手。汉武帝首先否定的是太子

  • 重要极限公式是什么
    重要极限公式是什么

    最佳答案:limsinx/x=1(x->0);lim(1+1/x)^x=e(x→∞)极限是微积分中的基础概念,它指的是变量在一定的变化过程中。其指的是变量在一定的变化过程中,从总的来说逐渐稳定的这样一种变化趋势以及所趋向的值(极限值),而广义的极限是指无限靠近而永远不能到达的意思,即逐渐向某一个确定的数值A不

  • 酒精的化学式是什么
    酒精的化学式是什么

    最佳答案:C2H6O酒精即乙醇,有机化合物,结构简式CH₃CH₂OH,酒精化学式为C2H6O(CH3CH2OH或C2H5OH)或EtOH,是带有一个羟基的饱和一元醇,与甲醚互为同分异构体是最常见的乙醇。乙醇在常温、常压下是一种易燃、易挥发的无色透明液体,它的水溶液具有酒香的气味,低毒性,纯液体不可直接饮用,并略带刺激;微甘,并伴

  • 硫代硫酸钠化学式是什么
    硫代硫酸钠化学式是什么

    最佳答案:Na₂S₂O₃硫代硫酸钠俗称“海波”,又名“大苏打”,是无色透明单斜晶体,无臭,味咸,硫代硫酸钠有较强的还原性和配位能力可用于照相行业的定影剂,洗涤业、造纸业的脱氧剂,定量分析中的还原剂。在干燥空气中有风化性,在湿空气中有潮解性;水溶液显微弱的碱性反应。在硫氰酸酶参与下,能与体内游离

  • 向量垂直公式是什么?
    向量垂直公式是什么?

    最佳答案:a,b是两个向量,a=(a1,a2)b=(b1,b2);a//b:a1/b1=a2/b2或a1b1=a2b2或a=λb,λ是一个常数;a垂直b:a1b1+a2b2=0  在数学中,向量最开始是指一个具有大小的和方向的量,一般来形象地将其用“←或者→”来表示,箭头所指代表向量的方向;线段长度代表向量的大小。与向量对应的量叫做数量(物理学

  • 五胡乱华是谁结束的
    五胡乱华是谁结束的

    最佳答案:拓跋焘五胡乱华是北魏帝拓跋焘结束的。439年,九月,北魏帝拓跋焘率军包围姑臧,沮渠牧犍出降,北凉灭亡。北魏帝国统一华北,135年的五胡乱华时代结束。北魏太武帝拓跋焘(第三任),南朝宋文帝刘义隆(第三任),南北对峙,正式进入南北朝时代。581年隋文帝杨坚建立隋朝,589年灭陈朝,方使中国结束了300年的动

  • 爱因斯坦的7大预言分别是什么?
    爱因斯坦的7大预言分别是什么?

    最佳答案:引力波的预言;宇宙学常数的预言;微引力透镜的预言;玻色-爱因斯坦凝聚态的预言;时空扭曲的预言;2060年世界末日预言;蜜蜂预言爱因斯坦的7大预言中前4个预言已经在不同的时间实现了,最后就时空扭曲的预言、2060年世界末日预言、蜜蜂预言这个三个预言还没有实现。引力波爱因斯坦提出宇宙万物都

本网站所有的文章都转载与网络(版权为原作者)我们会尽可能注明出处,但不排除来源不明的情况。转载是处于提供更多信息以参考使用或学习、交流、科研之目的,不用于商业用途。转载无意侵犯版权,如转载文章涉及您的权益等问题,请作者速来电话和邮件告知,我们将尽快处理。