首页 > 新闻资讯 > 生活资讯 生活资讯 订阅
生活资讯相关导航
生活资讯
  • 扇形弧长公式
    扇形弧长公式

    最佳答案:弧长=半径×圆心角弧度数扇形弧长是扇形的两条半径之间的圆弧长度,一条圆弧和经过这条圆弧两端的两条半径所围成的图形叫扇形,弧长=半径×圆心角弧度数。扇形是与圆形有关的一种重要图形,其面积与圆心角、圆半径相关,圆心角为n,半径为r的扇形面积为n×π×r^2/360°即圆心角x圆周率x

  • 汉语言文学考研考哪些科目
    汉语言文学考研考哪些科目

    最佳答案:(101)思想政治理论;(201)英语一;(202)俄语;(203)日语;(241)德语;(242)法语思想政治理论考研政治,即全国硕士研究生入学考试的思想政治理论科目,属于硕士研究生入学考试的公共课目。参加党校学习是政治生活中的一件大事,是难得的在党校的大熔炉中增强党性、提高理论水平的良好机遇。通过积极参加入学教育,进

  • 裸婚是什么意思啊
    裸婚是什么意思啊

    最佳答案:不办婚礼甚至没有婚戒而直接领证结婚的一种简朴的结婚方式裸婚是2008年兴起的网络新词汇。由于生活压力以及现代人越来越强调婚姻的“自由"和"独立",“婚礼”在年轻一代的婚姻中被重视的程度日益削弱。现实意义裸婚一方面体现了现代社会对婚姻理解的转变,不仅是一个家族的选择,同时也是

  • 清华大学最好的专业有哪些
    清华大学最好的专业有哪些

    最佳答案:金融专业;计算机科学与技术专业;材料科学与工程专业;电气工程自动化专业;土木工程专业在国家和社会的大力支持下,通过实施“211工程”“985工程”,开展“双一流”建设,清华大学在人才培养、科学研究、社会服务、文化传承创新、国际合作交流等方面都取得了长足进展。金融专业清华大学五道口金

  • 此生也算共白头的上一句
    此生也算共白头的上一句

    最佳答案:两处相思同淋雪出处同淋雪此生也算共白头,整句是“两处相思同淋雪,此生也算共白头”。是一句网络诗文,出自孙笑川吧,作者网名:福楼拜。“孙笑川吧”是依托贴吧平台构建,以网络主播孙笑川的名字命名的虚拟网络社区。原文两处相思同淋雪,也算此生共白头。冬去枯骨尘如是,春来尽做连理枝。鸟雀对

  • 涅槃什么意思
    涅槃什么意思

    最佳答案:超离生死的境界涅槃,原指火的熄灭或风的吹散,后成为印度古代宗教的通用术语,指通过宗教修行所达到的最高境界。涅槃早在佛陀出世前,印度《奥义书》思潮就已经在使用了,原先涅槃系指回归于包含一切且常乐我净的清静梵我,这个在耆那教教义中可以看明。 而佛陀觉悟后,明白“因缘法”,对涅槃一词

  • 俄罗斯是资本主义还是社会主义
    俄罗斯是资本主义还是社会主义

    最佳答案:两者都不是俄罗斯既不是资本主义国家也不是社会主义国家,俄罗斯已经不再像转轨之初那样强调走哪种主义的道路,而更强调走具有俄罗斯本国特色的道路。俄罗斯在苏联时期为社会主义政体,自冷战结束苏联解体之后,俄罗斯变成了资本主义政体。国名也从之前的俄罗斯苏维埃社会主义联邦共和国改为

  • 四川成都有哪些大学
    四川成都有哪些大学

    最佳答案:成都共有56所大学,名单分别为四川大学、西南交通大学、电子科技大学、西南石油大学、成都理工大学、成都信息工程大学、成都中医药大学、西南财经大学、四川音乐学院、西华大学等四川大学四川大学(川大,Sichuan University),创建于1896年,坐落于四川省会成都市,是中国教育部直属、中央直管副

  • 浮力计算公式是什么
    浮力计算公式是什么

    最佳答案:F浮=ρ液gV排浮力是指浸在流体内的物体受到流体竖直向上托起的作用力。浮力的定义式为F浮=G排,计算公式为:F浮=ρ液gV排,其中,ρ液表示液体的密度,单位为千克/立方米;g表示常数,g=9.8N/kg;V排表示排开液体的体积,单位为立方米。产生浮力的原因,可用浸没在液体内的正立方体的物体来分析。该物

  • 动物过冬的方式有哪些
    动物过冬的方式有哪些

    最佳答案:冬眠;换毛过冬;迁徙;贮存食物过冬;产卵过冬等过冬的方式1、冬眠过冬这类动物包括蛇、青蛙、乌龟、甲鱼、熊、刺猬、蝙蝠等。这类动物为变温动物或是异温动物,当温度降到某个点,动物的神经就会进入麻痹状态,当温度升到某个点,动物就会醒来。蛇在秋末气温降到约13℃以下时冬眠,时常聚群冬眠(有利

  • 电子科技大学在哪个城市
    电子科技大学在哪个城市

    最佳答案:四川省成都市电子科技大学位列“世界一流大学和一流学科”、“985工程”、“211工程”,入选“2011计划”、“111计划”、卓越工程师教育培养计划、国家建设高水平大学公派研究生项目、中国政府奖学金来华留学生接收院校、全国深化创新创业教育改革示范高校。电子科技大学原名成都电讯

  • 副国级包括哪些职务
    副国级包括哪些职务

    最佳答案:中共中央政治局委员;候补委员,中华人民共和国副主席,中共中央书记处书记,中共中央纪委书记,中共中央军事委员会副主席,中华人民共和国中央军事委员会副主席,全国人大常委会副委员长,国务院副总理,国务委员,全国政协副主席,国家监察委员会主任,最高人民法院院长,最高人民检察院检察长国家级副职,简称

  • 所愿皆所得下一句
    所愿皆所得下一句

    最佳答案:所遇皆所求,愿你所想,皆你所愿“所愿皆所得”下一句是“所遇皆所求,愿你所想,皆你所愿”。意思是所得到的一切都是所一直盼望着的,遇见的所有一切的人事物都是一直想要遇见的;所想的一切,都是出自真心的所盼望祈愿的。这句话是对未来美好生活愿景的一份期许,即祝福一个人:所得到的所

  • 不以为然的意思
    不以为然的意思

    最佳答案:不认为是正确的,表示不同意或否定出处宋·苏轼《再乞罢详定役法状》:“右臣先曾奏论前衙一役,只当招募,不当定差,执政不以为然。” 宋·杨万里《宋故少保左丞相郇国余公墓铭》:“时宰主之独参政。周公必大;不以为然。”近义词置若罔闻1、读音:zhìruòwǎngwén2、表达意思:意思是放在一边,好像

  • 桃花依旧笑春风 上一句
    桃花依旧笑春风 上一句

    最佳答案:人面不知何处去桃花依旧笑春风上一句是人面不知何处去。此句出自唐代诗人崔护的《题都城南庄》。原文去年今日此门中,人面桃花相映红。人面不知何处去,桃花依旧笑春风。意思去年春天,就在这扇门里,姑娘脸庞,相映鲜艳桃花。今日再来此地,姑娘不知去向何处,只有桃花依旧,含笑怒放春风之中。创作

  • 一架飞机有多重
    一架飞机有多重

    最佳答案:要看什么型号的飞机,飞机种类不一样,重量差距很大的像波音737和空客320这种典型的单通道客机,起飞最大重量大概是50-80吨的范围;像波音747这样的四发双通道宽体客机,起飞最大重量在300-400吨,而空客380这样的超大型客机能有500吨以上;还有些波音757、767和空客330等单通道半宽体客机,就介乎上

  • 好问则裕自用则小的意思
    好问则裕自用则小的意思

    最佳答案:喜欢提出问题向别人请教,知识就会丰富,主观武断,不虚心向人求教,就办不成大事这句谚语的出处是《尚书·仲虺之诰》:“予闻曰:能自得师者王,谓人莫己若者亡。好问则裕.自用则小。”这句话的意思是,予闻说:能够把圣贤之人当作老师的君主,就可以称王于天下。认为别人都不如自己的君主,最后都会失去

  • 浮力公式是什么
    浮力公式是什么

    最佳答案:F浮=ρ液gV排浮力是指浸在流体内的物体受到流体竖直向上托起的作用力。浮力的定义式为F浮=G排,计算公式为:F浮=ρ液gV排,其中,ρ液表示液体的密度,单位为千克/立方米;g表示常数,g=9.8N/kg;V排表示排开液体的体积,单位为立方米。产生浮力的原因,可用浸没在液体内的正立方体的物体来分析。该物

  • 对数函数公式是什么
    对数函数公式是什么

    最佳答案:log(a)(MN)=log(a)(M)+log(a)(N)1、log(a)(MN)=log(a)(M)+log(a)(N);2、log(a)(M/N)=log(a)(M)-log(a)(N);3、log(a)(M^n)=nlog(a)(M) (n∈R)4、log(a^n)(M)=1/nlog(a)(M)(n∈R)5、换底公式:log(A)M=log(b)M/log(b)A (b>0且b≠1)6、log(a^n)M^m=(m/n)log(a)M7、对数恒等式:a^log(a)N=N; lo

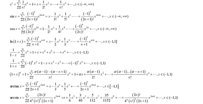
  • 常用十个泰勒展开公式是什么
    常用十个泰勒展开公式是什么

    最佳答案:一个用函数在某点的信息描述其附近取值的公式常用十个泰勒展开公式为泰勒公式,是一个用函数在某点的信息描述其附近取值的公式。如果函数满足一定的条件,泰勒公式可以用函数在某一点的各阶导数值做系数构建一个多项式来近似表达这个函数。补充数学中,泰勒公式是一个用函数在某点的信息描

  • 排列组合公式
    排列组合公式

    最佳答案:A(n,m)=n×(n-1).(n-m+1)=n/(n-m)排列组合是组合学最基本的概念。所谓排列,就是指从给定个数的元素中取出指定个数的元素进行排序。组合则是指从给定个数的元素中仅仅取出指定个数的元素,不考虑排序。排列是从n个不同元素中,任取m(m≤n,m与n均为自然数,下同)个元素按照一定的顺序排成—列,

  • 4050政策针对的是哪些人群
    4050政策针对的是哪些人群

    最佳答案:女性40岁以上;男性50岁以上4050人员指的是截至2011年12月31日前,女性40岁以上;男性50岁以上,本人就业愿望迫切、但因自身就业条件较差、技能单一等原因,难以在劳动力市场竞争就业的劳动者。社保补贴的标准各个地区规定是有所不同,有些地区补贴的比例是50%,有些地区补贴的比例可以达到80%,这主

  • 大道至简下一句
    大道至简下一句

    最佳答案:衍化至繁大道至简出自老子《道德经》,大道至简,不仅被哲学流派道家、儒家等所重视,也是人生在世的生活境界。简不是物质的贫乏,而是精神的自在;简不是生命的空虚,而是心灵的单纯。大道至简,大道无形,大道无法,这是一种大道自然、返朴归真的高级功态。大道至简,是宇宙万物发展之规律,是中华文化之

  • 自卑的人有哪些表现
    自卑的人有哪些表现

    最佳答案:喜欢独处,自我评价特别低,不喜欢展示自己自卑的人多表现为对自己的生理条件,如外貌、身高、学习、工作、人际交往等各个方面能力的评价过低,常担心自己被别人看不起,认为自己各个方面不如他人,从而远离群体,不愿与人交往或接受友谊,其实他们本身可能并没有他们想象中那么差,但是就是没办法越过

本网站所有的文章都转载与网络(版权为原作者)我们会尽可能注明出处,但不排除来源不明的情况。转载是处于提供更多信息以参考使用或学习、交流、科研之目的,不用于商业用途。转载无意侵犯版权,如转载文章涉及您的权益等问题,请作者速来电话和邮件告知,我们将尽快处理。