首页 > 新闻资讯 > 生活资讯 生活资讯 订阅
生活资讯相关导航
生活资讯
  • 平方差公式口诀是什么
    平方差公式口诀是什么

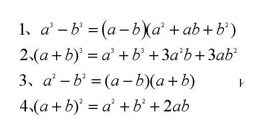
    最佳答案:两数和乘两数差,等于两数平方差积化和差变两项,完全平方不是它平方差平方差指一个平方数或正方形,减去另一个平方数或正方形得来的乘法公式:a2-b2=(a+b)(a-b)。两数和(或差)的平方,等于它们的平方和,加上(或减去)它们的积的2倍即完全平方公式:(a+b)2=a2+2ab+b2;(a-b)2=a2-2ab+b2平方差公式平方差公式是指

  • 防疫小知识内容是什么
    防疫小知识内容是什么

    最佳答案:远离传染源:近期不去武汉和其余已知出现疫情的地区场所,避免近距离接触咳嗽、发热病人,尽量避免到医院探望病人避免前往人群密集的场所,家居及室内工作场所,定期开窗保持空气流通注意个人卫生:咳嗽或打喷嚏时,用纸巾或屈肘遮住口鼻,勤洗手外出时佩戴医用外科口罩,4小时更换一次食物要煮熟煮透,

  • 写人的作文评语有哪些
    写人的作文评语有哪些

    最佳答案:你写的作文很生动,我很喜欢,你的标点也点的很准确,字也很整齐,作文也很流畅,几乎没有错别字这篇文章总体来说写的还可以,语句通顺,用词恰当,字体工整,写出了自己的感受,望以后继续努力文章开头简而得当,通过环境描写来衬托人物心情,十分艺术化等写人物作文评语1. 对照反思中成熟,引出心愿的表述。2

  • 什么是诺贝尔奖
    什么是诺贝尔奖

    最佳答案:诺贝尔奖是根据瑞典化学家阿尔弗雷德诺贝尔的遗嘱于1901年开始每年颁发的五个奖项,包括:物理、化学、生理学或医学、文学与和平诺贝尔奖是以瑞典的著名化学家、硝化甘油炸药的发明人阿尔弗雷德·贝恩哈德·诺贝尔的部分遗产(3100万瑞典克朗)作为基金在1895年创立的奖项。在世界范围内,诺贝

  • 对比是不是修辞手法
    对比是不是修辞手法

    最佳答案:是对比是一种修辞手法。对比是把两个相反、相对的事物或同一事物相反、相对的两个方面放在一起,用比较的方法加以描述或说明,这种写作手法叫对比,也叫对照。对比和衬托的区别1.衬托有主、宾之分,陪衬事物是为被陪衬事物服务的,是为了突出被陪衬事物的。对比是表明对立现象的,两种对立的事物

  • 宋仁宗之后谁继位
    宋仁宗之后谁继位

    最佳答案:赵曙宋仁宗之后的皇帝是赵曙。嘉祐八年(1063年)农历三月,仁宗逝世。夏四月初一,曹皇后发布遗诏,任命赵曙继承皇帝位。文武百官进入宫廷,痛哭哀悼。韩琦读仁宗遗诏制命。赵曙到东殿接见文武百官。四月初二,在全国大规模赦免,赐给百官爵加一等,奖赏各军。赵曙想为仁宗守丧三年,命令韩琦代理军政

  • 道光下一任皇帝是谁
    道光下一任皇帝是谁

    最佳答案:咸丰皇帝道光后面的一位皇帝是咸丰皇帝爱新觉罗·奕詝,是清朝第九位皇帝,定都北京后的第七位皇帝,清朝以及中国历史上最后一位拥有实际统治权的皇帝,也是清朝最后一位通过秘密立储继位的皇帝,年号咸丰。清宣宗道光帝第四子,生母是孝全成皇后钮祜禄氏。奕詝生于北京圆明园,道光二十六年(1846年

  • 离骚是谁写的
    离骚是谁写的

    最佳答案:屈原《离骚》是中国战国时期诗人屈原创作的诗篇,是中国古代最长的抒情诗。此诗以诗人自述身世、遭遇、心志为中心。前半篇反复倾诉诗人对楚国命运和人民生活的关心,表达要求革新政治的愿望,和坚持理想、虽逢灾厄也绝不与邪恶势力妥协的意志;后半篇通过神游天界、追求实现理想和失败后欲以

  • 发电机谁发明的
    发电机谁发明的

    最佳答案:迈克尔·法拉第是迈克尔·法拉第(Michael Faraday)。在公元1831年,法拉第将一个封闭电路中的导线通过电磁场,导线转动有电流流过电线,法拉第因此了解到电和磁场之间有某种紧密的关连,他建造了第一座发电机原型,其中包括了在磁场中迥转的铜盘,此发电机产生了电力。在此之前,所有的电皆由

  • 雍正是谁抚养长大的
    雍正是谁抚养长大的

    最佳答案:孝懿仁皇后雍正生母为德妃乌雅氏。由于其生母乌雅氏出身低微,不能给胤禛带来皇子中的特殊地位,清初时后宫也不允许生母抚育自己的儿子,因此胤禛满月后由孝懿仁皇后佟佳氏抚养。孝懿仁皇后是一等公佟国维之女,孝诚仁皇后的侄女,孝懿仁皇后没有生过皇子,只有一个公主还早年殇逝,故而养育德嫔之

  • 《鹿柴》是谁的诗
    《鹿柴》是谁的诗

    最佳答案:王维这首诗是王维五言绝句组诗《辋川集》二十首中的第五首。鹿柴,是辋川的地名。《鹿柴》古诗:空山不见人,但闻人语响。 返景入深林,复照青苔上。译文:幽静的山谷里看不见人,只能听到那说话的声音。落日的影晕映入了深林,又照在青苔上景色宜人。赏析“空山不见人,但闻人语响。返景入深林,复照

  • 两小儿辩日中谁说的对
    两小儿辩日中谁说的对

    最佳答案:都是不对的两小儿的说法都是不对的。理由如下:早晨的太阳看上去比中午的大,是因为早晨阳光进入大气层折射角比较大,我们看到的是被放大了的太阳的像,看上去比中午的太阳大很多。中午时比早晨热,是因为中午时太阳光是直射在地面上,太阳光直射时,地面和空气在相同的时间里、相等的面积内接受太

  • 司马光砸缸救的是谁
    司马光砸缸救的是谁

    最佳答案:上官尚光司马光砸缸救的是上官尚光。上官尚光从小聪明好学,得救后努力学习,助人为乐,参加科考,步入仕途。然而得不到重用,后来辞官回乡。为了感恩,他常常与人讲述司马光勇敢救人的事迹,为此还修建了一座感恩亭,并在家乡做了一名教师,为家乡培养人才。司马光砸缸的启示(1)学会在“慢”中取胜。当

  • 诗佛是谁啊
    诗佛是谁啊

    最佳答案:王维被称为诗佛的是唐朝诗人王维。王维字摩诘,号摩诘居士,是唐朝有名的诗人、画家,得到了“诗中有画,画中有诗”的高度评价,他与孟浩然合称“王孟”,后世也给了他“诗佛”的称号。因为王维晚年信奉佛教,所以有许多诗充满禅性,与佛教的思想息息相关,诗意平淡,讲究随性,如他的作品《过香积寺》中说

  • 清明的作者是谁是哪代诗人
    清明的作者是谁是哪代诗人

    最佳答案:唐代《清明》的作者是唐代著名诗人杜牧,这首诗是写清明时节的一个景象,通过对人物、景物的描写,加深大家对清明这个时节的认知,后两句又通过一问一答的形式,意味深长。原文:清明时节雨纷纷,路上行人欲断魂。借问酒家何处有?牧童遥指杏花村。开头先点出了是清明时节,接着又用“纷纷”两个字,突出

  • 留取丹心照汗青是谁写的诗
    留取丹心照汗青是谁写的诗

    最佳答案:文天祥“人生自古谁无死,留取丹心照汗青”是文天祥的作品。原文:辛苦遭逢起一经,干戈寥落四周星。山河破碎风飘絮,身世浮沉雨打萍。惶恐滩头说惶恐,零丁洋里叹零丁。人生自古谁无死?留取丹心照汗青。这首诗当作于宋祥兴二年(公元1279年)。公元宋祥兴元年(1278年),文天祥在广东海丰北五坡岭兵败被

  • 卖白菜的作者是谁
    卖白菜的作者是谁

    最佳答案:莫言《卖白菜》作者是莫言,《卖白菜》是苏教版七年级上册语文书(2016年秋季修订)新收入的课文,这篇课文写的是作者12岁的故事,表达的是诚信主题。文中讲述了特殊年代里农民生活的艰辛与酸楚,但坚强的脊梁却支撑了一代又一代人。作者简介莫言,原名管谟业,生于山东高密县,中国当代著名作家。香港

  • 得失寸心知是谁的名句
    得失寸心知是谁的名句

    最佳答案:杜甫文章千古事得失寸心知是杜甫的名句。意思是文章是传之千古的事业,而其中甘苦得失只有作者自己心里知道。表达杜甫晚年对诗歌创作的见解,带有总结性质。文章千古事,得失寸心知,这句诗是唐代诗人杜甫的名句。出自:《题偶》,原诗节选如下:文章千古事,得失寸心知。作者皆殊列,名声岂浪垂。译文

  • 咸丰皇帝之后是谁继位
    咸丰皇帝之后是谁继位

    最佳答案:同治帝载淳咸丰帝之后继位的是同治帝载淳。同治帝在位期间,清政府镇压了太平天国起义,剿灭了西、东捻的作乱。并且先后平定陕西、甘肃的回变,同时兴办洋务新政,史称“同治中兴”。清穆宗爱新觉罗·载淳(1856年3月23日-1875年1月12日),清朝第十位皇帝,也是清军入关以来第八位皇帝,年号“同治”。

  • 乾隆的生母是谁啊
    乾隆的生母是谁啊

    最佳答案:孝圣宪皇后钮祜禄氏乾隆的母亲是雍正皇帝的孝圣宪皇后钮祜禄氏。孝圣宪皇后(1692年11月5日—1777年3月2日),满洲镶黄旗人,四品典仪官凌柱之女。十三岁时入侍雍亲王府邸,号格格,为雍王胤禛藩邸格格。康熙五十年生弘历,即乾隆皇帝。雍正元年封为熹妃,雍正八年封为熹贵妃。雍正十三年其子弘历(乾

  • 活着是谁的作品
    活着是谁的作品

    最佳答案:余华《活着》的主人公福贵原本是一个富家公子,他不务正业将大把的家产都败光了。不过经历了挫折以后福贵终于意识到踏踏实实的去生活才是最重要的。不过就在他打算重新开始的时候,亲人却一个个过世了,这让福贵遭受了极大的打击。不过他心中依然没有放弃对生活的热爱,他也始终抱着一颗充满

  • 世界上公认第一辆汽车是谁制造的
    世界上公认第一辆汽车是谁制造的

    最佳答案:卡尔·本茨1885年,德国工程师卡尔·本茨制造出世界上第一辆以汽油为动力的三轮汽车。这辆汽车装有卧置单缸二冲程汽油发动机,785CC容积,0.89匹马力,每小时行走15千米。该车前轮小,后轮大,发动机置于后桥上方,动力通过链和齿轮驱动后轮前进。该车已具备了现代汽车的一些基本特点,如电点

  • 齐恒公即位任用谁执掌国政
    齐恒公即位任用谁执掌国政

    最佳答案:管仲齐桓公任用管仲执掌国政。管仲,姬姓,管氏,名夷吾,字仲,谥敬,颍上(今安徽省颍上县)人。中国古代著名经济学家、哲学家、政治家、军事家。春秋时期法家代表人物,周穆王的后代。齐僖公三十三年(前698年),开始辅佐公子纠。齐桓公元年(前685年),得到鲍叔牙推荐,担任国相,辅佐齐桓公成为春秋五霸之首。对

  • 道光帝下一代皇帝是谁
    道光帝下一代皇帝是谁

    最佳答案:咸丰皇帝道光皇帝的下一位皇帝是咸丰皇帝。1850年道光皇帝病重的时候召集各位大臣取出放在乾清宫正大光明牌匾后面的盒子,大臣们打开盒子拿出遗诏。遗诏上面写着立皇四子奕詝为皇太子,不久道光皇帝病逝。皇太子奕詝继承皇帝位,也就是咸丰皇帝。咸丰皇帝是清朝的第九位皇帝,入关北京后的第

本网站所有的文章都转载与网络(版权为原作者)我们会尽可能注明出处,但不排除来源不明的情况。转载是处于提供更多信息以参考使用或学习、交流、科研之目的,不用于商业用途。转载无意侵犯版权,如转载文章涉及您的权益等问题,请作者速来电话和邮件告知,我们将尽快处理。