首页 > 新闻资讯 > 生活资讯 生活资讯 订阅
生活资讯相关导航
生活资讯
  • 凉州词是谁写的
    凉州词是谁写的

    最佳答案:王焕之和王翰王焕之诗作凉州词二首其一黄河远上白云间,一片孤城万仞山。羌笛何须怨杨柳,春风不度玉门关。其二单于北望拂云堆,杀马登坛祭几回。汉家天子今神武,不肯和亲归去来。王之涣简介王之涣(688年-742年),是盛唐时期的著名诗人,字季凌,汉族,绛州(今山西新绛县)人。豪放不羁,常击剑悲歌,其诗多

  • 孝庄皇后是谁的妃子
    孝庄皇后是谁的妃子

    最佳答案:皇太极孝庄文皇后(1613年3月28日-1688年1月27日),博尔济吉特氏,名布木布泰(亦作本布泰,意为"天降贵人"),科尔沁贝勒宰桑-布和之女,孝端文皇后侄女,敏惠恭和元妃之妹。天命十年(1625年)嫁于努尔哈赤第八子皇太极为侧福晋,崇德元年(1636年),册封为庄妃,崇德八年(1643年),皇太极驾崩,福临即位,为顺治

  • 军衔等级排名从小到大是怎样排的?
    军衔等级排名从小到大是怎样排的?

    最佳答案:列兵,上等兵,下士,中士,上士,四级军士长,三级军士长,二级军士长,一级军士长,少尉,中尉,上尉,少校,中校,上校,大校,少将,中将,上将其中,军官军衔包括将官、校官、尉官三等;士兵军衔分为士官、义务兵两类中国的军队采取的是军衔制度,各级别的管理层都有不同的军衔,在我国,军衔晋升是比较严格的,对于有重大贡献的

  • 军衔等级排名从小到大是怎么排的?
    军衔等级排名从小到大是怎么排的?

    最佳答案:列兵,上等兵,下士,中士,上士,四级军士长,三级军士长,二级军士长,一级军士长,少尉,中尉,上尉,少校,中校,上校,大校,少将,中将,上将其中,军官军衔包括将官、校官、尉官三等;士兵军衔分为士官、义务兵两类军衔意义军衔代表军人级别,它将军人的荣誉称号、待遇水平和职务因素融为一体,兼有增强军人的责任心和荣誉

  • 天下兴亡匹夫有责的思想家是谁
    天下兴亡匹夫有责的思想家是谁

    最佳答案:顾炎武提出天下兴亡匹夫有责的古代思想家是顾炎武。“天下兴亡,匹夫有责”这句话最早是出现在顾炎武的《日知录·正始》中的概念,背景是清军入关。原句为:“保国者,其君其臣肉食者谋之;保天下者,匹夫之贱与有责焉耳矣。”原文“有亡国,有亡天下。亡国与亡天下奚辨?曰:“易姓改号,谓之亡国;仁

  • 麻沸散谁发明的
    麻沸散谁发明的

    最佳答案:华佗麻沸散传说是华佗创制的用于外科手术的麻醉药。传说系由曼陀罗花(也叫闹羊花、万桃花、醉心花、狗核桃)1斤、生草乌、香白芷、当归、川芎各4钱,天南星1钱,共6味药组成;另一说由羊踯躅3钱、茉莉花根1钱、当归1两、菖蒲3分组成。据后人考证,这些都不是华佗的原始处方。华佗是东汉末年三位

  • 篮球是谁发明的
    篮球是谁发明的

    最佳答案:詹姆斯·奈史密斯篮球,起源于美国马萨诸塞州,1891年12月21日由美国马萨诸塞州斯普林菲尔德基督教青年会训练学校(现译名为美国春田大学,Springfield College)体育教师詹姆士·奈史密斯发明。1892年,篮球运动首先从美国传入墨西哥,并很快在墨西哥各地得到开展。这样,墨西哥成为除美国外,

  • 漂亮的朋友作者是谁
    漂亮的朋友作者是谁

    最佳答案:莫泊桑《漂亮朋友》的作者是莫泊桑。莫泊桑(Maupassant,G.D,1850~1893)法国作家。1850年8月5日生于法国西北部诺曼底省的一个没落贵族家庭。1870年到巴黎攻读法学,适逢普法战争爆发,遂应证入伍。退伍后,先后在海军部和教育部任职。19世纪70年代是他文学创作的重要准备阶段,他的舅父和母亲的

  • 弱冠之年是指几岁
    弱冠之年是指几岁

    最佳答案:20岁弱冠指男子20岁,后世泛指男子二十左右的年纪。古代的男子在20岁时要举行加冠礼,说明他刚刚到了成年的年龄。男子行冠礼,就是要把头发盘成发髻,称之为“结发”,然后再戴上帽子。古时二十岁行冠礼,以示成年,但体犹未壮,故称"弱冠"。指刚成年。指二十岁。弱冠:古代男子20岁叫作"弱",这时就要

  • 王姓的来源是什么
    王姓的来源是什么

    最佳答案:主要源自姬姓,部分源自子姓、妫姓和少数民族改姓一般姓氏都是由本土其他姓氏改姓或者其他少数民族进入中原改姓,那么王姓的由来也不例外。其一,周平王在位51年,太子早夭,周平王死后,由其长孙姬赤(姬泄父之子)继位,但姬赤的胞弟姬林夺取了王位,史称周桓王。姬赤出奔晋国,子孙以其曾为王者而改姓王

  • 最好体育类院校有哪些
    最好体育类院校有哪些

    最佳答案:2022软科中国体育类大学排名的上榜高校有14所,上海体育学院、北京体育大学、首都体育学院、天津体育学院、沈阳体育学院排名前五上海体育学院上海体育学院创建于1952年,是新中国成立最早的体育高等学府。2001年起,由国家体育总局和上海市人民政府共建共管。2017年,入选首批国家“双一流”

  • 防溺水六不准是什么
    防溺水六不准是什么

    最佳答案:不准私自下水游泳;不准擅自与他人结伴游泳;不准在无家长或老师带领的情况下游泳;不准到无安全设施、无救护人员的水域游泳;不准到不熟悉的水域游泳;不准不会水性的学生擅自下水施救防溺水安全常识1、不要独自一人外出游泳,更不要到摸不到底和不知水情或较危险且容易发生溺水伤亡事故的地方

  • 中国高校综合实力排名前十的有哪些
    中国高校综合实力排名前十的有哪些

    最佳答案:清华大学;上海交通大学;南京大学;中山大学;复旦大学;北京大学;天津大学;华中科技大学;南开大学;中国科技大学中国最好大学十强名单1. 清华大学清华,诞生于1911年,因坐落于北京西北郊的清华园而得名。以前老外不太了解清华学校误以为是台湾的学校之后清华大学随着培养的人才越来越多,出国的数量较

  • 2022文科大学排名前十有哪些院校
    2022文科大学排名前十有哪些院校

    最佳答案:北京大学;中国人民大学;上海交通大学;南京大学;中山大学;武汉大学;厦门大学;四川大学;山东大学;中国传媒大学北京大学简介北京大学简称“北大”,位于北京市,是中华人民共和国教育部直属的全国重点大学,位列“双一流”、“211工程”、“985工程”,入选“学位授权自主审核单位”、“基础学科拔尖学生

  • 青山处处埋忠骨全诗是谁写的
    青山处处埋忠骨全诗是谁写的

    最佳答案:龚自珍己亥为清道光十九年(1839年),这一年作者48岁,因厌恶仕途,辞官离京返杭,后因迎接眷属,又往返一次。在往返京杭的途中,共写了315首七绝。《己亥杂诗》龚自珍青山处处埋忠骨,何须马革裹尸还。落红不是无情物,化作春泥更护花。龚自珍简介龚自珍(1792年8月22日~1841年9月26日)清代思想家、文学家

  • 中国最后一位皇帝是谁
    中国最后一位皇帝是谁

    最佳答案:溥仪1911年辛亥革命爆发,1912年2月12日溥仪被迫退位,清朝统治结束。九·一八事变之后在日本人控制下溥仪做了满洲国的傀儡皇帝,年号康德(1934年—1945年),所以又称“康德皇帝”。1945年8月15日,日本投降。8月17日,溥仪在沈阳准备逃亡时被苏联红军俘虏,被带到苏联。1950年8月初溥仪被押解回国,在

  • 唐三第一个万年魂环来自于谁
    唐三第一个万年魂环来自于谁

    最佳答案:地穴魔蛛在一般情况下,正常人的前四个魂环配置都是两黄两紫,之后才是万年以上的魂环,这个常理包括唐三的父亲都脱离不开。而唐三却是在第四个魂环就开始吸收万年以上的魂环,实属一个大胆的想法,唐三也实现了他所想,吸收了这头万年魂兽,成就了第四魂环,就是黑色的万年魂环。唐三唐三,唐家三少所

  • 仲达指的是谁
    仲达指的是谁

    最佳答案:司马懿司马懿(179年-251年),字仲达,东汉末年人士,三国时曹魏权臣、谋略家、政治家,西晋王朝的主要奠基人。司马懿最初被曹操强制做官,他懂隐忍,一直用心做事,骗取曹操的信任,一直等到曹操死后才崭露头角,然后作为统帅抵御诸葛亮的蜀汉北伐军,之后更是被曹丕托孤,成为辅佐大臣,结果曹魏政权就这么一

  • 谁被汉武帝拜为车骑将军
    谁被汉武帝拜为车骑将军

    最佳答案:卫青卫青(出生不详-前106年),字仲卿,卫子夫异父同母的弟弟,出生在河东平阳(今山西临汾西南),是西汉汉武帝时期将军,伟大的民族英雄。卫青悲惨童年,经常被当成畜生一样虐待,11、12岁时因为姐姐卫子夫备受汉武帝宠爱,卫青也被汉武帝连续破格提拔,20多岁就开始攻打匈奴,立下无数战功,最后更是作为大将军

  • 是谁家的姑娘出自哪首歌
    是谁家的姑娘出自哪首歌

    最佳答案:《桥边姑娘》2021年1月23日,《桥边姑娘》获得第二届腾讯音乐娱乐盛典年度十大热歌奖 。海伦,本名崔钉铜,1995年9月4日出生于吉林省长春市,中国内地流行乐男歌手,词曲创作音乐人,2019年,推出发布单曲《桥边姑娘》,并因此受到关注;《桥边姑娘》上线以来,光速称霸酷狗各大榜单,一周播放量就火速突破

  • 四大名著都是谁写的
    四大名著都是谁写的

    最佳答案:耐庵容;罗贯中;吴承恩;曹雪芹​;高鹗中国古典长篇小说四大名著,简称四大名著,是指《水浒传》、《三国演义》、《西游记》、《红楼梦》(按照成书先后顺序)这四部巨著。四大古典名著是中国文学史中的经典作品,是世界宝贵的文化遗产。此四部巨著在中国文学史上的地位是难分高低的,都有着极高的文学

  • 2022年台湾的领导者是谁
    2022年台湾的领导者是谁

    最佳答案:蔡英文蔡英文,1978年台湾大学法律系毕业,1984年获英国伦敦政经学院法学博士学位。1984年~1991年任政治大学法律系及法律研究所副教授、教授。1988年任“经济部国贸局”顾问。1991年~1993年任东吴大学法律研究所教授。1993年起任政治大学国贸系教授,兼“经济部”贸易调查委员会委员、国际经

  • 2022年冬奥会中国的第一枚金牌得主是谁
    2022年冬奥会中国的第一枚金牌得主是谁

    最佳答案:任子威;武大靖;范可新;曲春雨任子威是奥运冠军,中国短道速滑运动员,早年在哈尔滨专业队,从事短道速滑运动,后入选黑龙江省队,2014年首次获得3000米接力冠军,在北京冬奥会上,和队友一起为中国体育代表团获得冬奥会首枚金牌。任子威1997年6月3日出生于黑龙江省哈尔滨市,中国短道速滑运动员。2004年

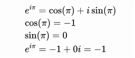
  • 公式e^(iπ)+1=0的发明者是谁?
    公式e^(iπ)+1=0的发明者是谁?

    最佳答案:欧拉莱昂哈德·欧拉(Leonhard Euler,1707年4月5日-1783年9月18日) 是瑞士数学家和物理学家。他被称为历史上最伟大的两位数学家之一(另一位是卡尔·弗里德里克·高斯)。欧拉是第一个使用“函数”一词来描述包含各种参数的表达式的人,例如:y = F(x) (函数的定义由莱布尼兹在1694年给出)。他

本网站所有的文章都转载与网络(版权为原作者)我们会尽可能注明出处,但不排除来源不明的情况。转载是处于提供更多信息以参考使用或学习、交流、科研之目的,不用于商业用途。转载无意侵犯版权,如转载文章涉及您的权益等问题,请作者速来电话和邮件告知,我们将尽快处理。